I promised in the third part of this blog that I would delve into the cheating problem at college, but it ran long and I didn’t deliver, so let me begin this final part with that discussion.
In addition to all of the online resources that I mentioned in part two that are available to students, there are also, “homework helper” and, “study helper” websites, which are, in reality, thinly veiled cheating websites. The way these websites work, is that a student will take a publisher-produced exam, a test that is created by the publisher of the course textbook, which are the same books in universities all over the country, and then the student will screenshot each of the questions and upload them to the site. The site will then pay an expert to give the correct answer to each question, and for the low-low price of only $40 per semester, you can get access to all of these tests and answers. And, lo and behold, wouldn’t you know it, lazy professors all over the country use these exact same publisher-provided exams, EVEN IN ONLINE CLASSES.
Now, these professors have the ability, with the simple click of a button, to require students to use something called “lockdown browser” when they take these online exams. This is a browser that you have to use to access the test, and the browser “locks down” your computer, preventing it from using an external monitor or having any other web pages open or software running. This does very little to prevent cheating, of course, as this is the 21st century, and even Jed Clampett has more than one device that can access the internet. So, teachers also have the ability to have the exams proctored. This involves a requirement to activate your webcam where either an AI program, or an actual person, will watch you as you take the exam. These proctors require that you show the room to them before the test by swiveling your web cam around the area, and you must keep your face in the little display box the entire time. I guess they use some kind of detection device that tracks your eye movements as well, which will alert if you keep looking off the screen, but I suspect that is mostly nonsense meant to scare students, and that they do nothing but record that little window so the professor can come back later and review it if you suddenly turn from a Forrest Gump-type student into Rain man.
Anyway, despite these admittedly imperfect options that are available to the professors, almost none of them use any of them. Instead, what they do is, they alter the exams just slightl…no, no, that’s not it. What do they do? Oh, that’s right. Nothing. They do nothing at all. They post that the test is closed book and closed notes, and that it must be taken alone with no help, and then they post a test that was provided by the publisher and is the exact same test that has been used for years and is all over the internet, and then they preen when the class average is 89%, thinking that they are amazing professors with a teaching ability gift from God. It’s truly disgusting.
At this point in my college career, I had seen rampant cheating in many of my classes. I’m talking disgusting levels of cheating that wasn’t even clever or unique cheating. I at least could have tipped my hat to unique or clever cheating. But there was no need to be clever because so many of the professors just don’t care. I saw a fellow student write equations on his sock and then wear slides so that he could slip his foot out of the slide, see the equation, and slip it back in. I saw a student write answers on the underside of his calculator case. This was so unclever and primitive that he could have very easily been caught, had the professor bothered to look up from his phone at any point at all during the test. I was even asked, more than once, by students in the Discord chat room, if I would meet them in the library and take the online test with them. THESE ARE KIDS WHO HAD NEVER MET ME AND DIDN’T EVEN CONSIDER IF I WAS A PLANT OR A SNITCH, ASKING ME TO CHEAT WITH THEM.
Here’s an example of students using Discord to cheat on a final project, in a 400-level finance class where, not only did the professor clearly state that it was required they work alone and that sharing answers was cheating, one of the other students in the class warned them a few lines above this that asking for and sharing answers was cheating.


By and large, the plethora of cheating that I witnessed over three-and-a-half years was so shockingly rudimentary and uncreative that I was consistently sure they would get caught, and yet, they never did. And you know why? Because the professors just didn’t give a rat’s ass. They couldn’t care less. Here’s how I know:
Normally, cheating by my fellow classmates didn’t affect me, and so I didn’t care. If they wanted to cheat their way to a degree, what difference did that make to me? I was there to learn, and part of my thrill came from excelling and being the best that I was capable of. Cheating would have stolen that thrill from me, and so even when it was available and easy, I truly had no interest. I don’t pretend to be more moral than anyone else, cheating would have just robbed me of the pure joy I got from excelling at something difficult, and so it was of no interest for me. However, others cheating did affect me when the professor would curve an exam. Now, I have a lot to say about curving exams, but I’ll keep it short here. I don’t like it. It’s just another form of laziness. Write an exam that covers the material you taught, don’t make it ridiculously difficult as if to show off how smart you are, and then grade it appropriately. Why are you curving? If you need to curve an exam, its either because you didn’t do a good job teaching the material, or you put material on the exam that was too advanced for where the students are. Curving is lazy and apathetic, and really just insulting to the students.
In my Intermediate Managerial Finance class, the professor not only curved the exams, she used these very same publisher-provided exams which are all over the internet, and then asked students to take them on their honor. In my entire time back in school, I don’t believe I ever took a legitimate exam where I scored below the class mean score. And, I rarely, if ever, took an exam where I was below the third quartile of scores. So, when I ended up below the mean on the first test in this class, it was quite obvious what had happened. And, the mean score was so high that the professor didn’t curve the exam, so now, this was affecting me. Prior to this exam, I had been invited to take the test with a group of students in the library, where there are blocks of computers where numerous people can sit in groups and look up answers. I refused, of course, but after this first test, I asked for a meeting with the professor. I told her that there was rampant cheating happening on her tests, I showed her that the answers were available online, and I told her that I’d been invited to cheat. Her answer? “There’s not much I can do about it.”
Um, how about you write your own test instead of using a publisher-provided test that has been around for two years? How about you change the wording just slightly so that a different answer is right? How about you do anything at all instead of just telling me that you don’t care? This was infuriating to me, and I considered taking it further up, but I didn’t like the way this “snitching” was making me feel. And this wasn’t the only class where I had this problem. Far from it, actually. My last semester, my Econ 470 professor told me that he couldn’t release the correct or incorrect answers to the exam because it would “compromise the test for future classes.” I sent him a long email telling him that his exams were already compromised, then did a google search for the question I wanted the answer to, and sent him a screenshot of his very test question with the correct answer available online. I don’t understand how these professors can possibly be so naïve as to think that the tests they use over and over again remain uncompromised. It seems impossible that PhDs can be that stupid.
This is probably more than enough about cheating, but let’s just say that it is happening all the time, and it will continue to happen until professors actually decide to care about it. And, from what I’ve seen, very few do.
Anyway, back to the business of registering for my final semester at UNLV.
The UNLV business school has pretty strict requirements for the awarding of Latin honors, the “cum laude” honors that you see all the nerds getting and probably always wondered what they were. The top honor is Summa Cum Laude, and here at the Lee Business School at UNLV, that requires a GPA of 3.991 or higher. I did some math and figured out what this meant, and I believe that if you took a full 120 credits at UNLV, you could get exactly three A-minuses or one B, but not both. If you only took 60 credits here, meaning you started at CSN or some other community college and transferred, you could get one A-minus but not a B, so this is a very difficult honor to receive. I think that of my graduating class of ~550, only three students achieved this honor. Magna Cum Laude is next, and this requires a GPA of 3.9 or higher, and Cum Laude requires a GPA of 3.8 or better. I believe around 25 students from my graduating class got Magna Cum Laude, and somewhere around 50 earned Cum Laude.
Why do I mention this? Well, when I started publishing this article, I began it with an absurd and utterly snobbish photo of myself holding my Magna Cum Laude plaque while I put on the snootiest airs I could conjure up. You probably remember. It was this photo:

Not only do I look like a complete idiot in this photo, but I announced to the world that I had earned Magna Cum Laude, and yet, I hadn’t received my final grades. With a GPA of 3.958 coming into this semester, I had a little bit of wriggle room above the baseline 3.9 to actually get the Magna Cum Laude honors, but not much. And just because they gave me a nice certificate, did not mean that I had actually earned them. Not until final grades were in and my final GPA was still above a 3.9. So, why in the world would I possibly announce on a public blog that I had earned Magna Cum Laude, all while posing in such a way that I would look like a complete jackass were I to not actually earn those honors? I don’t know. I guess I’m an idiot.
To provide evidence for just how much of an idiot I am, let me tell you what classes I registered myself in for the spring semester. I had four classes remaining, only one of which was a required class. I needed two finance classes and two economics classes, and the only one that was mandated was Advanced Managerial Finance (Fin 405). I had some leeway with the other three, the only requirement being that at least one of my economics courses had to be 400 level, while the other could be either 300 or 400 level. For my second finance class, the Student Investment Fund (Fin 426) was a no-brainer. I explained this class in my previous post, a great class where the students manage an actual investment fund, making all the investment decisions for a fund that had more than $400k in real money. The university allowed students to take this class twice, and I was grateful to once again receive one of the 20 highly coveted slots.
For my two economics electives, I chose Economic Analytics (Econ 306), and Urban and Regional Economics (Econ 470). These all seemed like fine choices as they weren’t easy classes by any means, but they would sort of fill in the gaps where my economics instruction was missing a few things.
And then I did something stupid.
Graduation was fast approaching, and I really had no idea what I wanted to do once it arrived. I’d attended several sessions with guest speakers in finance who told the class all about what they did for a living, and without exception, I came to the conclusion that if I held any of those jobs, it would not take long for me to begin craving the sweet, sweet taste of a hollow-point bullet. I would always ask the presenters what was the most exciting part of their jobs, and, without fail, their most exciting days would have me wanting to stick a fork in my eye. I recognize that my attitude sucks, and I recognize that this sort of outlook probably makes me unemployable, but I just can’t see myself sitting at a desk figuring out ways to make other people rich. Not of any interest to me. Nope.
For economics, I was coming to realize that nobody is hiring an economist with a BS degree. It’s a BS degree, but it might as well just be regular old BS, because there really just aren’t economists out there who don’t hold at least a master’s degree, if not a PhD in economics. There are plenty of jobs in finance for someone with a BS, and in fact, I get solicited constantly through the UNLV job portal for finance degree related jobs. But, like I said, if I’m going to take one of those jobs then I probably should also be enrolling myself in Introduction to Noose Tying (Rope 201), because I’ll definitely need it.
Because I hate all the jobs I’ve seen in finance, and because there are no jobs in economics for someone with my level of education, I came to the realization that I should at least consider a graduate program in economics. I like economics and I seem to be pretty good at it, so if I want to work as an economist then I need to get a little more schooling. Of course, there are plenty of other jobs not in finance and not as an economist that I might find enjoyable. After all, I now hold two business degrees and those are probably worth something out there in corporate America. But I like to keep all my options open, and one of those options was a graduate program in economics.
Keep reading, the really stupid thing is coming.
Looking into some of those graduate programs, I discovered that they require calculus. Since I hadn’t taken calculus, that would have meant I would have to return to an undergrad calculus class at some point if I decided to go that route. I’m actually a little annoyed that the Economics BSBA doesn’t require calculus already. We have to take partial derivatives and full derivatives for marginal revenue functions and wage and capital equations anyway, and because calculus isn’t required, the professors all along the way have had to give us the shortcut to those equations instead of being able to make us derive them ourselves with calculus. I had found this rather annoying over the last couple of years of classes, and I felt that many of my professors also found it annoying.
As I mentioned, I like to keep my options open, so I decided I should take calculus this semester, in addition to my required final four classes. The problem was, I hadn’t even taken the prerequisite for calculus. Sure, I took precalculus one and I took finite mathematics, but neither of those met the prerequisite to register for calculus. It required precalculus II, which is basically trigonometry. I was at first dismayed, but after some digging, I found a work-around. I could test into calculus and bypass the prerequisites. Hooray!
Of course, the problem was that I didn’t know trigonometry. Oh, don’t get me wrong, I took trigonometry once. It was in 1990, and I think I got a C-. And, of course, I haven’t used a single thing from that class since. So, while a few things might seem vaguely familiar 34 years later I definitely wouldn’t know enough to pass the test. So, I decided to teach myself trigonometry during the Christmas break.
I found a great online class through Campus, and another at Khan Academy, and I spent the Christmas break teaching myself about tangent and cotangent and sine and cosine waves, and about the unit circle and the amazing vagaries of pi, and after three condensed and hectic weeks of instruction, I was ready. I took the proctored entrance exam and somehow, I passed. I was now eligible to take calculus!
This might lead you, dear reader, to ask, what kind of a fool takes his final semester, a nice, easy semester with just four classes, and voluntarily adds calculus when he didn’t even have enough classes to qualify to take calculus and just barely passed the test that allowed him to bypass those requirements?
This kind of fool.

So, into calculus I went, joining 55 mostly first-year students in a class that I would come to find out was taught by the most narcissistic, egotistical, holier-than-thou professor I’d yet had. I don’t want to drag this on forever, but this guy suuuuucked as a professor. Absolutely horrible teaching style, but beyond that, he felt the need to lord his intelligence over the students through both his words and his lecture slides, which were absolutely indecipherable and unwatchable. He did have the decency to post his lectures online so that his class, which was unbearable, could be skipped, but instead of posting the lectures to the UNLV system called Canvas, he posted them to YouTube where we had to watch a commercial every five minutes. Things were pretty awful, however, there was a saving grace. This is math. There’s nothing unique about math. An instructor teaching calculus badly, as this one was, is still teaching the same exact calculus as a great instructor somewhere else. And the internet is full of videos of people teaching calculus. All I had to do was figure out what the lesson for that day was, since although calculus is always the same, the order in which it is taught can vary pretty widely, and then find some online instruction that matched. Simple enough, right?
Not quite.
I’ve mentioned Khan Academy a few times, and I can’t say enough good things about them. They are an amazing resource, and I dove deeply into their calculus course, doing my best to match my instructor’s syllabus with the available videos on Khan Academy. I felt that I was keeping up well, and when I would attempt to watch one of this instructor’s god-awful videos, I would give up quickly and return to Khan Academy.
I felt confident going into the first exam, and it went well. I got a 95%, which was a solid grade, particularly when the class mean was an absolutely dismal 63.32% with a median of 69%. I’ll remind you that a passing grade at UNLV is a C, which most professors set at 70%, so more than half the students failed this exam. That is horrible, and an absolute testament to the terrible teaching style of this professor.
But it would get worse.
The grade for this class was based on three exams and attendance at the Friday lab session. This Friday session was really just a review of the material from that week, and while the class itself was not required attendance, the lab attendance was 15% of my grade. I had conflicts that I knew were going to require me to miss 2 of the 12 total labs (test days were also Friday in the lab but didn’t count as attendance credit), and so I would automatically be losing some points there. That meant I really needed to perform well on the exams in order to get an A in the class. I would end up missing 3 of the 12 lab days, which meant I would only get 75% of the 15%.
The first two tests were each worth 25% of the final grade, and the final exam was worth 35%, so with my 95% on the first test, I was sailing along smoothly in spite of the points I would miss for the required lab attendance. Then, along came the second exam.
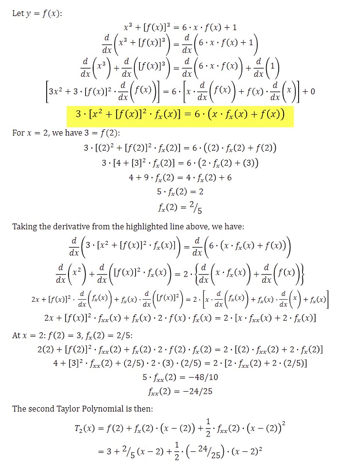
If anybody reading this has taken calculus, I’m going to post one of the questions that were on this exam. Keep in mind, this is exam two of a first semester calculus class. Does this seem like a fair question to any of you? If you think it is, please let me know, I would love to discover that this sort of question is standard operating procedure instead of a jackass professor being super clever for his own amusement. Here’s the question. Also, keep in mind that each test has 10 questions and we have about 70 minutes to complete it, so a student can only really allocate about 7 minutes to each question.

For anybody who has not taken calculus, here is the answer to this question, as provided by the professor. If you don’t know calculus, then, looking at this answer, does this question seem reasonable to you for a first semester calculus class?

I am, of course, presenting the most difficult question on the test, however, the rest of them were not exactly easy. I did not do well on this exam. In fact, I got one of the worst scores on any exam in my college career. I got a 74% on this test, and suddenly, I was sweating this class. How do I know that I’m not just an idiot and a huge baby, and the test was perfectly fair? Well, of the 56 students in this class who took this test, the high score was 81%. The mean? 36.13%. The median? 30.5%. HALF OF THE STUDENTS WHO TOOK THIS TEST GOT 30.5% OR LESS. The third quartile was 61.5%, which meant that 75% of the students got 61.5% or less. WHEN 75% OF YOUR STUDENTS ARE SCORING 61.5% AND UNDER ON YOUR EXAM, YOU SUCK. This appalling scoring is not the fault of the students. It’s the fault of the professor, and I would challenge anyone who says otherwise.
The next class after these abysmal scores, I decided to actually attend for the first time since the beginning of the semester. I wanted to hear what he had to say about this horrible and appalling result. HE SAID NOTHING. NEVER EVEN ADDRESSED IT. He did send an email with a single sentence that essentially said he would adjust the weighting of the final exam if necessary so that students who currently would still fail the class even with a 100% on the final would not lose all hope.
So, on to the final exam. I studied my ass off for this exam. Although I was certainly in the top 5% of this class with my solid B, I wanted to do better. Not only did I punish myself thoroughly by watching every one of this professor’s unwatchable videos, I spent dozens of hours learning the intricacies of calculus with Khan Academy’s vast library. I was prepared. I aced the Khan Academy mock exams. I knew my calculus.
Until I showed up for the final exam and flipped over the test to begin.
Once again, this jackass decided to humor himself with questions that were so advanced that failure was guaranteed. I just cannot understand how this clown has a job. I will never understand a math department that accepts the failure rate that this professor shoves down their throats.
Although I was sweating this grade, I did some math (not calculus, obviously) and realized that I only needed to get 50% on the final exam to get a C in the class and pass it, and the C would not drop my total overall GPA below the 3.9 threshold for Magna Cum Laude. Whew! I knew I did better than 50% and so I was golden. As long as I got As in every one of my other classes – and after finals week, I felt confident that I was going to get As in all those classes. Of course, a C in calculus is terrible, but at least I was done with it and Magna Cum Laude was a lock. I wrote and posted the first blog, along with the picture I was about to deeply regret.
A day later, I wrote and posted part two. I was feeling cocky and happy, and I was thrilled with the viewership of my first blog. After I posted the second blog I went to bed and then suddenly woke up in a panic a few hours later thinking I missed something. I ran downstairs and redid the math. Oh dear God, I got it wrong the first time. (maybe I deserve to fail calculus after all?) If I got a C in calculus, my GPA would actually drop to 3.889. It was a four-credit class because of the lab, and I had done the calculation based on a three-credit class. A C and I would lose Magna Cum Laude. And I had just posted this picture for the world to see.

What an idiot I am.
I quickly calculated what I needed on the final exam to get a B in the class. I would need a 76%. I thought back to the test. That was going to be VERY, VERY close. I wasn’t sure I had made it. It was an absurd test, on par with the previous test where I got a 74%. I would need to do better on this one, and I didn’t think I had. And, this all assuming I got straight As in the other four classes, and I suddenly was getting cold sweats imagining scenarios where that didn’t happen. The Econ 470 class had the A-cutoff at 94%. 93.9% was an A-minus. (What even is this grade? Who gives minus grades, and certainly who sets the cutoff so high?) What if I got an A- in that class? What if I got an A- in Econ 306? His syllabus just said, “standard 10-point grading scale.” I had assumed that meant no minus/plus grades, but did it? What if “standard” meant minus and plusses? I was sitting at 92.88% in that class, was that actually an A-? If I got two A- grades, would a C+ in calculus pull me under the 3.9? I did the math. It would. What about a B-? Yes, it would. I perused the calculus syllabus. No mention at all of plus or minus grading. No mention of the grading scale at all, in fact. Typical assclown professor move. I was screwed. Why did I miss those lab days, particularly the one where I just simply didn’t feel like going? That was 1.25% for each day, 3.75% in total. I needed those percents now, and I’d so nonchalantly waved them off. What an idiot. YOU CAN’T TAKE IT AWAY, UNLV, YOU ALREADY SENT ME THE CERTIFICATE!!
But of course, they can.
Throughout the week, I watched anxiously as grades were posted. I held off on writing part three of this blog. I worked through all the scenarios and came up with the best way to post a retraction. My Facebook picture (I think you know the one by now) had over 100 likes. I had received dozens of congratulatory messages. How did I retract this and tell everyone that I’m an idiot, and I deservedly lost Magna Cum Laude because I’m retarded?
The grades began posting. Finance 426, (A). No surprise there, anything less would have been an absolute shock. Econ 470 (A). I faded the 94% A-minus cutoff, closing the class with a strong final exam and an overall 96.8%. Fin 405 (A). I got 100% on the final project while the class average was in the low 70’s so I should have been feeling great. Of course, I wasn’t. I only cared about the calculus grade. Would I get the 76% on the final exam which would put my final grade at 80.1%?
Econ 306 came in. I did worse than I thought on the final exam with an 85%, and had 92.88% for the class. I didn’t know if this was an A- or not, but was glad to see when he posted it that it was a pure (A). Thank you, sir. Four As in the books. If I hadn’t taken this optional calculus class, I would have closed my college career with straight As and a GPA that would have been in the 3.97 range, quite respectable under any conditions, and certainly under the double major program I’d put myself through.
Of course, the calculus professor waited until the last minute to post the grades. All the bad professors do this. I think they just decide that if they wait as long as possible there will be less time for the students to complain and try to finagle a grade change. I got the email that the grade on the final exam was in. I logged in and held my hand over it to sweat it like I was squeezing Aces at the poker table. The first number I saw was the class mean. 39.92%. The next was the class median. 40%. Well, he obviously didn’t do anybody any favors with a curve of any type. And yeah, the test was just as hard as I’d anticipated. My heart was in my throat. I needed 76%. I kid you not, I squeezed the number by blocking the screen with my hand. I’m not dragging this out just for you, I did it to myself as well. I moved my hand just enough to see the first number.
7.
Oh dear God. I was hoping to see an 8. I was dreading seeing a 6. I scored in the 70s. Six numbers (70-75) got me a C and an incredibly embarrassing public retraction. Four numbers (76-79) got me a B and the Latin honors I’d already announced to the world. I was a 3-2 favorite to have to start writing that retraction and making some phone calls to my family. I squeezed the last number.
6.
I got a 76. The absolute minimum number I needed. Did I miscalculate this?? I pulled up a calculator and crunched the numbers again. Yup. 76% meant 80.1% for the class. B or B-minus, it didn’t matter. I would be above a 3.9 GPA and all would be good. It turned out, of course, that he gave me a B-minus. Despite the fact that his syllabus makes no mention of minus grades. Because he’s a jackass and possibly the worst professor at UNLV.
The high score on the final exam was 88%, and the upper quartile was 59.75%. Once again, somewhere in the range of 80-85% of the students failed the final exam, and almost certainly somewhere north of 75% of the students failed the class entirely. How can you possibly take any pride as a professor with that kind of failure rate? How can a school justify employing a professor with that kind of failure rate? Does he simply tell them that all his students are idiots? Does it even get brought up at any point? I’ll just never understand. And lest you think I’m exaggerating or making this up completely, here are the exam scores.

It was officially over. I finished my college career, or at least the undergraduate portion, with a GPA of 3.916. After one year and 29 credits at CSN, I raced through UNLV with 109 credits in just two-and-a-half years, a blistering pace, and now I was finally finished. So, now what? Grad school? A job? Something else entirely?
I don’t know.
As I mentioned when this all started, I want to do something that betters the world. I want to build something. I want to be a net contributor to society rather than a net drain. I want to feel good about what I do, and most importantly, I need to be challenged. I need a job that challenges me every day, because I get bored VERY easily. It’s miserable being me sometimes. Even exciting stuff bores me. I don’t know why, but I know that I want to work, and I know that I need something titillating. I’m smart, I’m driven, I’m energetic, I want to work, I’m willing to work hard, and now I have some schooling. Is it enough schooling though? What should I do?
Anybody out there looking to hire a recent 51-year-old college graduate?
Thanks for reading!
Final semester classes:
| Class | Code | Credits | Grade | Cumulative GPA |
| Student Investment Fund | FIN 426 | 3 | A | 3.96 |
| Advanced Managerial Finance | FIN 405 | 3 | A | 3.962 |
| Economic Analytics | ECON 306 | 3 | A | 3.963 |
| Urban and Regional Economics | ECON 470 | 3 | A | 3.965 |
| Calculus | MATH 181 | 4 | B- | 3.916 |
Overall college courses, CSN and UNLV combined:
Stupid Gen Ed required classes:
| Class | Code | Credits | Grade/GPA |
| Nevada History | HIST 217 | 3 | A |
| Precalculus I | MATH 126 | 3 | A |
| Ethics | PHIL 102 | 3 | A |
| Chemistry (+lab) | CHEM 105 | 4 | A |
| Arabic I | ARA 111 | 4 | A |
| Astronomy | AST 104 | 3 | A |
| Composition II | ENG 102 | 3 | A |
| U.S. Since 1877 | HIST 102 | 3 | A |
| Critical Thinking and Reasoning | PHIL 103 | 3 | A |
| World Literature I | ENG 231 | 3 | A |
| History of Rock Music | MUS 125 | 3 | A |
| U.S. Government | URST 241 | 3 | A |
| Calculus I | MATH 181 | 4 | B- |
| Totals | 42 | 3.876 |
Business school required classes:
| Class | Code | Credits | Grade/GPA |
| Financial Accounting | ACC 201 | 3 | A |
| Intro to Information Systems | IS 101 | 3 | A |
| Finite Mathematics | MATH 132 | 3 | A |
| Managerial Accounting | ACC 202 | 3 | A |
| Business Communications | BUS 321 | 3 | A |
| Business Analytics | IS 335 | 3 | A |
| Leadership & Management Skills | MGT 371 | 3 | A |
| Principles of Management | MGT 301 | 3 | A- |
| Marketing Management | MKT 301 | 3 | B |
| Operations Management | SCM 352 | 3 | A |
| Business Law | BLW 302 | 3 | A |
| Tech and Innovation | IS 330 | 3 | A |
| Global Business Strategy | BUS 498 | 3 | A |
| Totals | 39 | 3.900 |
Finance degree-specific classes:
| Class | Code | Credits | Grade/GPA |
| Principles of Managerial Finance | FIN 301 | 3 | A |
| Money and Capital Markets | FIN 312 | 3 | A |
| Intermediate Managerial Finance | FIN 303 | 3 | A |
| Investments | FIN 307 | 3 | A |
| Student Investment Fund I | FIN 425 | 3 | A |
| Student Investment Fund II | FIN 426 | 3 | A |
| Advanced Managerial Finance | FIN 405 | 3 | A |
| International Financial Mgmt | FIN 308 | 3 | A |
| Totals | 24 | 4.000 |
Economics degree-specific classes:
| Class | Code | Credits | Grade/GPA |
| Beginning Microeconomics | ECON 102 | 3 | A |
| Beginning Macroeconomics | ECON 103 | 3 | A |
| Statistics | ECON 261 | 3 | A |
| Statistics II | ECON 262 | 3 | A |
| Intermediate Microeconomics | ECON 301 | 3 | A |
| Intermediate Macroeconomics | ECON 303 | 3 | A |
| Intro to Econometrics | ECON 441 | 3 | A |
| Economic Analytics | ECON 306 | 3 | A |
| Industrial Organization | ECON 455 | 3 | A |
| Urban and Regional Economics | ECON 470 | 3 | A |
| Seminar in Economic Research | ECON 495 | 3 | A |
| Totals | 33 | 4.000 |














































































































